
构件设计承载力应通过测试或理论计算方法确定。理论计算方法应合理考虑开孔与局部屈曲、整体屈曲和畸变屈曲以及缺陷的相互作用影响。对于连续开孔的构件,理论计算方法应通过测试验证。
连续开孔构件的设计需要测试,但是并不限制理论计算方法(比如有限元法)应用于开孔或无孔构件的计算。
均匀受压的立柱,应满足:
NEd≤Nc,Rd
其中
NEd为设计轴压力;
Nc,Rd=fyAeff/γM1
Aeff为均匀受压截面的有效面积。
弯曲屈曲承载力应按下式确定:

其中
Ncr为等效截面的立柱发生弯曲屈曲的弹性临界轴力
Aeff为考虑局部屈曲Aeff,lb与畸变屈曲Aeff,db的较小值
Aeq为等效截面积
λ为长细比,对于弯曲屈曲,λy=ly/ieq,y,λz=lz/ieq,z
l为屈曲长度
ieq等效截面回转半径
α为缺陷系数,见表1。

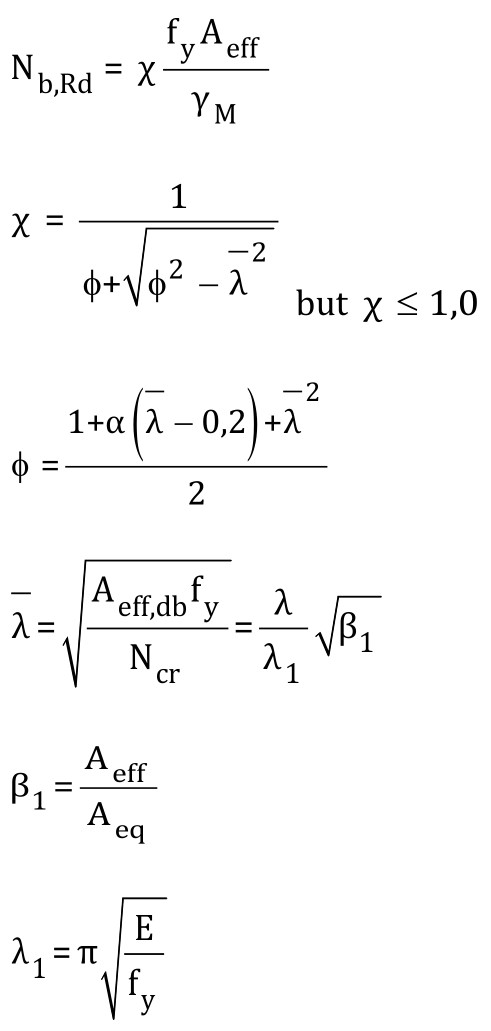
2.1 屈曲曲线
图1 屈曲曲线

屈曲曲线的选择,取决于截面类型与屈曲平面。每条屈曲曲线对应一个缺陷系数α值。特定截面对应的恰当屈曲曲线应根据表2确定。
表2 不同冷成型截面类型屈曲曲线

2.2 弯曲屈曲长度
弯曲屈曲长度l:
l=KL
其中
K为有效长度系数,对于无支撑货架比较复杂需要专门分析确定,对于有支撑货架见表3;
L为体系长度,见图2、图3与图6。
表3 有效长度系数K

当最底部支撑以下的立柱不满足支撑偏心要求时,地坪与第一支撑点之间的立柱长度应视为是可以自由侧移的。对于图2c)所示的顶部无支撑部分立柱,应按无支撑货架确定相应的有效长度。

C1为地坪与最底部第一支撑点之间的立柱长度
Lsys,z,bottom为地坪与底部第二支撑点之间的立柱长度
Lsys,z为步距
图2 立柱组面内屈曲模式

图3 沿巷道方向有支撑的货架
扭转或弯扭屈曲承载力应用Ncr,T和Ncr,TF的较小值代替弯曲屈曲的Ncr:

其中
y-y轴为对称轴
Ncr,TF为弯曲屈曲临界荷载
Ncr,T为扭转屈曲临界荷载
Ncy,y绕y-y轴弯曲屈曲临界荷载
i02=ieq,y2+ieq,z2+yeq,02
yeq,0为等效截面剪心到形心沿y轴方向的距离
LeT为扭转屈曲长度

图4 剪心位置
3.1 扭转屈曲长度
扭转屈曲长度lT:
lT=KTLeq
其中
KT见表4;
Leq为等效步距,见表5。
表4有效长度系数KT


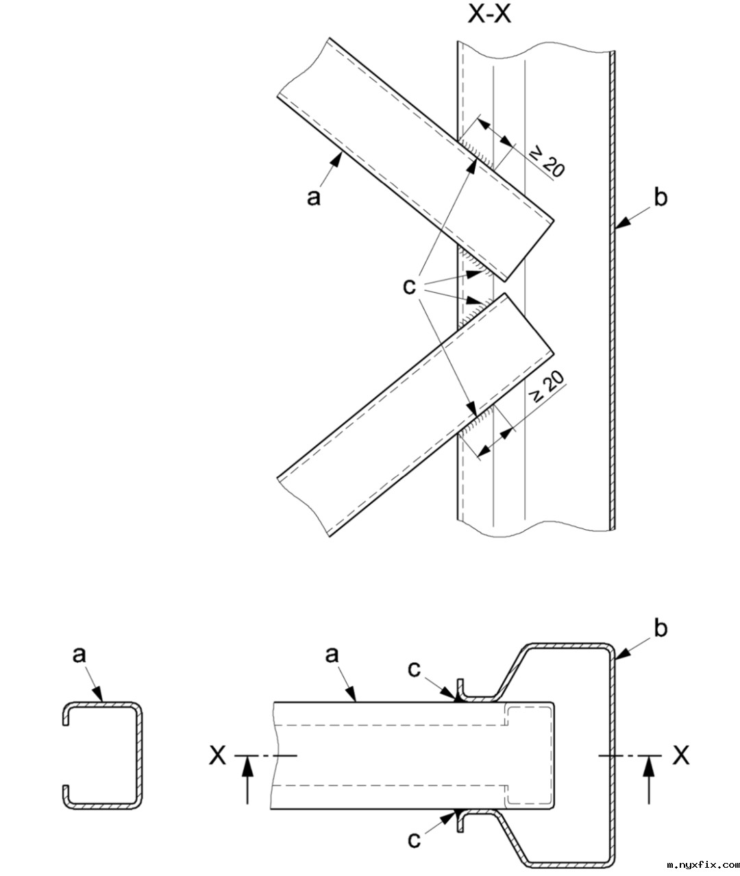
a (图5a)每根支撑构件的两面腹板通过螺栓与立柱连接
a (图5b)每根支撑构件仅有一面腹板通过螺栓与立柱连接
b 立柱
图5 支撑节点示列
表5 等效步距


1 α×Lsys;y;i+1
2 Lsys;z;i
3 Lsys;z;i+1
4 第i+1层横梁
5 Lsys;y;i+1
6 第i层横梁
a YZ平面
b YX平面
图6 体系长度
4.1 压弯截面承载力

其中
Aeff为均匀受压时的有效截面积
Weff,min为仅受弯时的有效截面模量(对应边缘纤维最大弹性应力)
eN为有效截面形心相对于毛截面形心的偏移。
4.2 压弯构件屈曲承载力

其中
NEd为轴压力设计值(见图7)
My,Ed,Mz,Ed为弯矩设计值(见图7),或保守地取端弯矩最大值。
ΔMy,Ed,ΔMz,Ed为有效截面形心相对于毛截面形心的偏移引起的附加弯矩
χy,χz为弯曲屈曲折减系数,弯扭屈曲发生时,应用χTF代替
χLT为侧向扭转屈曲折减系数
NRd为考虑有效截面的轴压承载力设计值
My,Rd,Mz,Rd为截面弯曲承载力设计值
αy,αz,βy,βz,δy,δz为相互作用公式中的指数,见表6
ωx,y,ωx,z,ωx,LT为与截面位置相关的插值系数,见表7
y-y轴与z-z轴为主轴。
表6 相互作用公式中

表7 插值系数ωx,y与ωx,LT


图7 轴力NEd与弯矩My,Ed,Mz,Ed图
立柱组撑杆及节点除了基于整体分析的内力进行设计外,还需考虑以下情况的荷载最小值:
——立柱组竖向荷载标准值的1.5%
——3kN
该荷载无需与其他荷载或作用组合。
5.1 屈曲长度
屈曲长度系数见表8。
l=KL
lT=KTL
其中
L为立柱组撑杆节点间距离。
表8 K系数


a 立柱组撑杆
b 立柱
c 焊缝
图8 焊接立柱组撑杆
对于背靠背货架,立柱组之间应至少设置两根连杆。立柱组连杆应位于立柱组撑杆支撑点处,并按照实际情况分布开来。立柱拼接处应额外设置一根连杆。最底部的连杆应设置于地坪以上第二支撑点处。
如果设计中考虑了立柱组连杆,那么立柱组连杆应能抵抗所受到的内力。对于配备betway必威手机版官网下载的货架,每根立柱组连杆应能承受至少2.5kN偶然水平荷载引起的拉压效应。
本站的原创文章,请转载时务必注明出处:稳图WESAFE,不尊重原创的行为我们将追究责任。

